描述光源的參數有很多,其中就包括光通量、光亮度和光照度。對于光通量、光亮度和光照度的概念及光通量、光亮度和光照度的測量方法,許多的朋友不是很了解。本文為大家做了歸納總結,對光度學知識感興趣的朋友可以了解一下!

1.光通量(luminous flux)Φv
光源在單位時間內發出的光量稱為光通量,在光度學中,光通量是從輻射通量導出的量,它明確地定義為能夠被人眼視覺系統所感受到的那部分輻射功率的大小的量度。單位是流明(lumen),符號為1m,表達式為:Φv=dQv/dt。
2.光亮度(luminance)Lv
一個面光源,除了可以用發光強度來描述它在某一方向上的發光能力之外,還要知道它每一單位面積在這個方向上的發光能力,以便比較兩種不同類型光源的明亮程度,這就要用到亮度這個概念。它表示每單位面積上的發光強度,即Lv=dIv/dS。
亮度的單位為坎德拉每平方米(cd/m2)。上式中的面積,應理解為一個面在觀察方向上的正投影面積。因此,若觀察方向與該面的法線夾角為θ時,上式將變為:Lv=dIv/dScosθ。
所以,光源的光亮度可定義為:在表面一點處的面元在給定方向上的發光強度,除以該面元在垂至于給定方向的平面上的正投影面積。
由于Iv=dΦv/dΩ,故有Lv=d2Φv/dΩdScosθ,這個公式是光亮度的較通用的定義式。由該式可知,亮度不僅可用來描述一個發光面,而且還可以用來描述光路中的任意一個截面,如一個透鏡的有效面積、一個光闌所截的面積或一個象的面積等。此外,還可以用亮度來描述一束光,光束的亮度等于這個光束所包含的光通量除以這束光的橫截面和這束光的立體角。
3.光照度(illuminance)Ev
在光接收面上一點處的光照度等于照射在包括該點在內的一個面元上的光通量dФv,除以該面元的面積 dS。即Ev=dФv/dS。
單位為勒克斯(lux),符號為lx,當1lm的光通量均勻地照射在1m2的面積上時,這個面上的光照度就等于1lx。即1lx=1llm/m2。
1.光通量的測量
光源的發光強度是光度學中的基本量,而且由發光強度可以導出其他光度量。但要表征光源的特性,單以光源的發光強度來表示是不完全的,這是因為一般光源在各個方向上的的發光強度并不一致,故只有用總光通量來說明更為合適。
對各向同性的點光源,其光通量Φ=4πI,所以只要測得發光強度,乘以4π,即為光通量Φ。但是實際光源都有一定的尺寸,而且在各個方向上又不均勻,故不能用Ф=4πI計算得到。
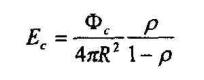
光通量的測量方法:在積分球內用已知光通量的標準燈與被測燈作比較測量,從而定出被測燈的光通量。
用積分球測量光通量,通常采用比較法(代替法),為此需要光通量標準燈。先將標準燈(其光通量為Φs)放入積分球內,點燃后,在窗口測得的照度Es應符合下列式子:

放入待測燈點然后,可測得的照度為Ec為:

比較以上兩個式子,可得待測燈的光通量為:

采用比較法測量光通量可以大為減少由球壁漫反射層的不均勻性、球壁涂料和窗口材料的非中性(即涂料的漫反射比和窗口的透射比與波長有關)等因素造成的影響,但是不能消除由于標準燈的尺寸和結構與待測燈的不相同而造成的對球內壁漫射光的吸收情況不同的影響,也不能消除標準燈與待測燈的相對光譜功率分布及空間分布不同產生的影響等等,在測量時應考慮采取修正的辦法。
2.照度測量方法
照度測量是最流行的光度測量形式。一般都用物理照度計,即用光電探測器代替人眼的光電式照度計。
照度計的測量原理較簡單,整個探測器所接收的光通量除以探測器的面積,即為所測的照度,即E=Φ/A。
由于光電探測器的光譜靈敏度分布不同于人眼的光譜光視效率V(λ),故一般的照度計在探測器前都裝有V(λ)濾光器。一個照度計是由帶V(λ)濾光器的光電探測器及電子放大和讀數系統所組成。過去廣泛采用硒光電池為探測器,這是因為它的光譜靈敏度比其他探測器更接近人眼的光譜光視效率V(λ)的緣故。但由于硅光電元件的靈敏度、穩定性和壽命均較硒光電池為高,故近年來多采用硅光電池或硅光電二極管代替硒光電池作照度計的探測器件。
由于光電探測器所產生的光電流正比于所接收的光通量,測量時須將照度計的光敏表面與被測照度的表面重合,并盡量垂直于光的照射方向。所以讀數系統可直接指示出所測的照度值。
一般照度計的測量精度為10%左右,高精度的照度計可達3%~4%。
3.亮度測量方法
一般光源的光亮度不僅與測量方法有關,而且與表面的位置有關。為了測量方便,常在發光面前加一光闌,以測定光闌所限制部分的發光面在水平方向的光亮度。如需要測定發光面其他部分的光亮度,可以改變光闌和探測器的位置。
1.直接測量光照度來確定光源的亮度

如上圖所示,光源面積為B,光闌離光源ab很近時,則光源ab向探測器S發出的光通量大約等于在光闌處面積為B的光源向S發出的光通量。如光闌孔的尺寸比距離r小很多,則s上的照度為:E=LB/r2。
測出光照度E和距離r,光亮度L即可確定為:L=Er2/B。

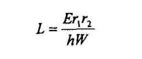
當光源為帶狀或線狀時(如鎢帶燈或直線鎢絲燈),光闌的主要作用是限制發光體的高度,這時光源的亮度由上圖可得:

式中,r1、r2分別為探測器S與光闌D以及探測器S與光源ab間的距離;h為光闌的高度;W為發光面的寬度。
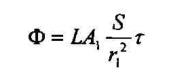
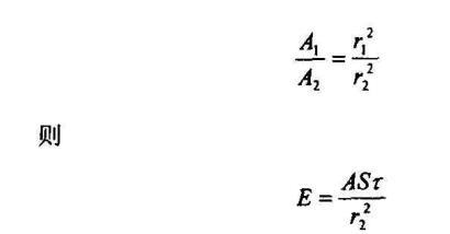
2.由光源成像的光照度來確定光源亮度
這種方法可以用于測量不可接近的發光體(如高溫發光體)和光照度很低的情況。

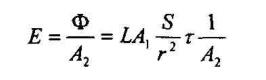
如上圖所示,若發光面積A1經過透鏡D成像為面積A2。發光面及其像與透鏡D的距離分別為r1和r2,S為透鏡D的面積,τ為透鏡的透射比。如果r1和r2比A1和A2的尺寸大很多,則發光面向透鏡D發射并透過D的光通量為:

像的照度為:

由透鏡的成像關系得:

所以亮度為:
