評價標準光源的性能指標有很多,最為常見的就有光通量、發光強度、光照度、光亮度、色溫和顯色性,許多的朋友多光通量、發光強度、光照度、光亮度、色溫和顯色性的概念及這些性能指標之間的關系不是很清楚,本文為大家作了詳細的介紹,對標準光源知識感興趣的朋友可以了解一下!

1.光通量(Φ)
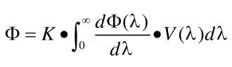
光通量就是用來表示光源的輻射功率經過人眼的視見函數影響后的光譜輻射功率大小的物理量。其表達式為:

式中:
Φ:光通量,單位為流明(lm)。
K:光敏度、感光度。K為6831m/W.K值是為了光通量的單位與輻射功率的單位得到統一。
Ф(λ):波長λ的光輻射功率。
λ:光的波長.
V(λ):稱為人眼相對光譜敏感度曲線,亦作視見函數曲線,是總結了眾多針對人眼的測試經驗而得到的,它描述了人眼對不同波長的光的反應強弱。如在白天或光線較強的地方,對波長為555nm的黃、綠光最靈敏,即V(λ)為1,波長離555nm越遠,V(λ)越低。
2.發光強度(I)
發光強度(Luminous intensity),簡稱光強,單位為坎德拉(cd),即1cd =1lm/sr,定義為:光源在空間某一特定方向上單位立體角內(每球面度)輻射的光通量的空間刻度,稱為光源在該方向上的發光強度。定義式為:Iθ=dΦ/dΩ。式中:Φ為光通量,Ω為立體角,θ為方向。
3.照度(E)
照度(illuminance)定義為每單位面積所接收到的光通量。照度的符號為E,單位為勒克斯(1lx=1lux),即1lx=1lm/m2。一些日常的代表性照度:烈日環境下,照度為100000lx,適合閱讀環境照度為600lx,適合辦公室、教室的環境照度300lx。
4.亮度(L)
亮度(luminance)是表示眼睛從某一方向所看到物體反射光的強度,用符號L表示,單位為尼特(nit),1nit=1cd/m2,物理表達式為:

式中Φ為光通量,Ω為立體角,θ為給定方向與單位面積元(ds)法線方向夾角。
5.色溫(CT)
色溫(color temperature)是以絕對溫度K來表示,即將標準黑體加熱,隨溫度升高,其顏色開始由深紅-淺紅-橙黃-白-藍,逐漸改變。利用這種光的顏色的變化的特性,當電光源發射的光色與黑體在某溫度下的顏色相同時,稱黑體的這個溫度為該光源的色溫。
電光源的光譜能量分布與黑體的光譜能量分布很不一致,故采用相關色溫(CCT)。光源所發射的光的顏色與黑體在某一溫度下發射的光的顏色最接近時,即稱黑體的這個溫度就稱為該光源的相關色溫。
6.顯色指數(CRI)
顯色指數(color rendering index),是用來定量的評判光源顯色性。光源顯色性,是指在該光源照射下,各種顏色物體能給眼睛以原顏色刺激的性能。顯示指數是待測光源下的物體顏色與參考光源下的物體顏色相符程度的度量。
發光強度和照度之間存在一定的關系,發光強度是指光源發出的光強,而照度則是指光源發出的光在某一方向上的光強。發光強度是指光強度的大小,而照度則是指光強度的分布。發光強度越大,照度也越大,反之亦然。因此,發光強度和照度之間的關系是相互影響的,一個影響另一個。
此外,發光強度和照度也受到發光物體的形狀和大小的影響。發光物體的形狀越復雜,發光強度和照度的差異越大;發光物體的大小越大,發光強度和照度也越大。
發光強度和照度之間存在一定的關系,發光強度越大,照度也越大,發光物體的形狀和大小也會影響發光強度和照度。
通俗地說,亮度是物體表面明亮的程度。對于發光體,亮度表明了它表面發光的本領,主要與它的發光特性有關;對于本身不發光的物體,它的亮度不僅與照亮它的光源的特性有關,還與物體自身的表面特性有關。例如在同樣的光線下,反射率小的黑絲絨亮度低,反射率高的白紙亮度高。照度表明物體表面被光源照明的程度,即單位時間內投射到物體單位表面上光能量的多少。因此亮度與照度的第一個重要區別是:亮度與物體自身的表面特性有關。照度僅由光源的特性(強弱、遠近、投射角)確定,與被照明物體的表面特性無關。
亮度與照度的第二個區別是方向性。亮度是有方向的量,談論某點的亮度還必須同時指明測試或觀察的方向。例如點亮的手電筒從正面看比斜看亮得多,劣質的黑板在教室的某些位置會產生強烈的反光。照度是無方向的量,物體上某處的照度是周圍環境投射到該處所有光線之和,無論光線從何方射來,只要投射到物體上的光能量相同,對照度的影響都相同。
照度表示被照面上接受的光的強弱,是單位面積上所得到的光通量。
如果要想求出距離一個光源rm處的光照度,可以設想一個以光源為中心、半徑為rm的球面,球面內側接受的光通量是均勻的,這個球面的面積A為A=4π·r2,照度 E等于光通量除以面積,即E=Фv/A=Фv/4π·r2(lx)。
例如,一個發光強度為1cd的點光源,均勻發出的光通量為4πlm,距離這個點光源1m位置的照度為1lx。距離這個點光源2m位置的照度則為(1/4)1x。
反之,如果已知照度E和被照面積A,也可以求出光通量Фv=EA,光通量等于照度乘以面積。如果被照面積上照度是不均勻的,可把被照面積劃分為多個小面積△A1……△An,測出每個小面積上的照度E1……En,用近似公式計算,即每個小面積與其上的照度相乘,再全相加得到光通量。
如果劃分的 n 個小面積其面積全相等,則:Фv=A [(E1+……+En)/n]。
這是常用的計算投影機光通量的方法,平均照度乘以投影面積。例如,如果平均照度為10001x,投影面積為3m2,簡單相乘可知光通量為30001m。
光源的色溫與顯色性,從本質上說,都是由它的光譜能量分布決定的。以日光為例,日光是由紅、橙、黃、綠、青、藍、紫等多種顏色的光按一定的比例混合而成。日光照到某一種顏色的物體上,物體將其他顏色的光吸收,而將這種顏色的光反射出來。比如,藍布受日光照射后,就將藍光反射出來,并將其他光吸收,因此人眼看到的這塊布是藍色的。由于日光本身包含了各種顏色,再加上各種物體對不同的光的反射性能不一樣,所以大自然在日光照射下就顯得五彩繽紛。鈉燈則不然,鈉燈發出的光主要是黃光,當黃光照在藍布上,藍布將黃光吸收,藍布雖然能反射藍光,但鈉燈發出的光中基本上沒有藍光,也就談不上反射藍光了。因此在鈉燈照射下藍布就變成黑布了。鎢絲燈的光譜能量分布是連續的,各種顏色都有,因而有較好的顯色性,但其輻射能量分布偏重于長波方面,整體上看來光色偏紅偏黃。
然而,光源的色溫與顯色性之間并沒有必然的聯系,相同色溫的各光源之間的顯色性差別可能很大,相同顯色指數的各光源之間的色溫差別也可能很大,各種色溫的光源都可能有較好的顯色性,也可能有較差的顯色性。如:鎢絲燈色溫低,顯色性好;高壓鈉燈色溫低,而顯色性差;馬路上的高壓汞燈,從遠處看它發出的光既亮又白(色溫高),但被它照射的人的臉色卻象抹了一層青灰色(顯色性差);而高壓缸燈,發出的光亮白(色溫高),燈下的顏色也不失真(顯色性好)。