我們在對光源的性能指標進行評價時,常用會用到色溫、相關色溫、顯色性、顯色指數等指標。那么,色溫和相關色溫什么意思?顯色性和顯色指數怎么理解?本文對色溫和相關色溫及顯色性和顯色指數的含義及計算方法作了介紹,感興趣的朋友可以了解一下!

當光源的相對光譜輻射功率分布和黑體在某一溫度T時的相對光譜輻射功率分布相同時,稱該黑體的溫度Ta為輻射源的分布溫度(distribution temperature)。由于光譜分布相同的光顏色必定相同,因此該光源和黑體在色品圖上的坐標一定是重合的。當光源所呈現的顏色與黑體在某一溫度T時的顏色相同時,將此時黑體的溫度T稱為該輻射源的顏色溫度(colour temperature),簡稱色溫,單位為開爾文(K)。例如,一個光源的顏色與黑體加熱到2800K時的顏色相同,則該光源的色溫為2800K。一般來說,高色溫的光為偏藍綠色的白光,低色溫的光為偏紅黃色的白光。另外由于分布溫度對應于輻射源的光譜分布,而光譜分布相同的光其顏色必定相同,因此分布溫度一定是色溫。
對于另外一些重要的光源,其相對光譜分布與黑體相差比較遠,它們的色品坐標不一定能準確地落在色品圖的黑體溫度軌跡上,而是在該軌跡的附近。這時,用相關色溫的概念來表征這類光源的特性。當光源的顏色與黑體在某個溫度下最接近,或者說光源反映的坐標點在色品圖上與普朗克軌跡上的某點距離最短時,就稱此時黑體的溫度表示此輻射源的色溫,并稱之為為該光源的相關色溫(correlated colour temperature),簡稱CCT。
鎢絲燈的相關色溫為2850K,薄云白天時陽光的色溫為5000K,晴朗白天時陽光的色溫為6500K。
色溫或相關色溫的定義是某光源的色度坐標與絕對黑體輻射在某一溫度下的色度一樣,則這一溫度稱為某光源的色溫。一般情況下,光源的色坐標在色度圖上不一定準確地落在絕對黑體軌跡上,所以只能用光源與黑體軌跡最近的顏色來確定該光源的色溫,稱為相關色溫。光源色溫的經驗公式為:

其中A=(x-0.329)/(y-0.187)。
色溫在照明領域是一個非常重要的概念,也是評價光源色度特性的一個重要參數。色溫的概念來自于黑體輻射,只有接近于黑體輻射的發光體討論色溫才有意義,對應一個具體的光源來說,它的色坐標位置只有接近色品圖中的Planck軌跡,這時討論色溫才有意義,色品圖中的Planck軌跡是不同色溫的黑體輻射發光體所對應的色坐標在色品圖上形成的一條曲線,人們把這條曲線稱之為Planck軌跡,見下圖所示。

在某一特定溫度T下,黑體的光譜功率分布可由普朗克公式獲得,即:

其中第一輻射c1=2πhc2=3.7418x10-16W·m2;
第二輻射常數c2=hc/k=1.4388×10-2m·K;k為波爾茲曼常數;c為光速。
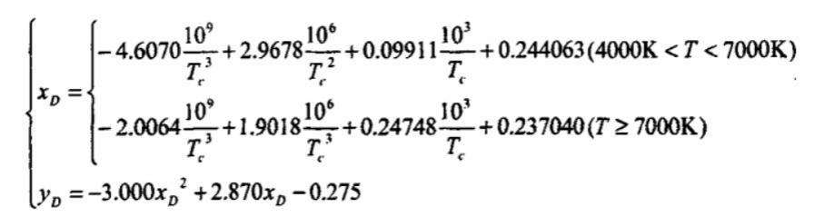
根據已知黑體的光譜功率分布公式,我們可以求得色坐標與色溫的關系表達式,當色溫大于5000K時,CIE推薦用日光軌跡代替黑體軌跡,而日光軌跡的色品坐標為:

式中,xD的有效范圍為0.250~0.380。
顯色性是評價光源的重要特性,人們習慣認為物體在日光下的顏色為真實顏色,因此重用物體在燈光下和日光下的顏色的接近程度表示燈光的顯色性,顏色越接近,顯色性越高。光源的光譜分布決定了光源的顯色性,具有連續光譜分布的光源具有較好的顯色性,如日光燈,白熾燈等。顯色性的評價方法大體上可以分為兩種:基于光譜分布之差的方法和基于作為標準的物體色外貌之差的方法。目前在光源顯色性評價上多采用后一種方法。
CIE推薦顯色指數CRI(colour rendering index)來評價光源的顯色性。CIE提出把普朗克輻射體作為評價低色溫光源顯色性的參照標準。當相對色溫低于5000K時,將同等色溫下的普朗克輻射體在作為參考光源;當相對色溫高于5000K時,將標準照明體D作為參考光源。若樣本在測試光下的顏色和參考光下的顏色完全相同,則認為顯色指數為100。在評價光源的顯色性時,采用14種試驗色,如下圖所示。

其中前8種不同顏色,它們明度值接近,彩度適中,圍繞色相環,用于光源一般顯色指數和特殊顯色指數的計算;而后6種是一些飽和色和皮膚色,如四個心理基礎色(純紅、黃、綠、藍)、皮膚色和樹葉顏色,用于特殊顯色指數的計算。通過測量并計算這些試驗色在測試光和參考光下的色差,便可求出光源的顯色指數,用以表征光源顯色性的優劣程度。
其中前8種不同顏色,它們明度值接近,彩度適中,圍繞色相環,用于光源一般顯色指數和特殊顯色指數的計算;而后6種是一些飽和色和皮膚色,如四個心理基礎色(純紅、黃、綠、藍)、皮膚色和樹葉顏色,用于特殊顯色指數的計算。通過測量并計算這些試驗色在測試光和參考光下的色差,便可求出光源的顯色指數,用以表征光源顯色性的優劣程度。
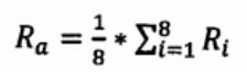
假設第i中試驗色在參考光和測試光下的色差為△Ei(i=1,2,3,…,14),則可以計算出各種試驗色的特殊顯色指數Ri,即Ri=100-4.6△Ei。
顯色指數越高,代表顯色性越好,如果Ri=10,表示該樣本在測試光和參考光下的色差為0。將前8個樣本的顯色指數取平均值,得到常用的一般顯色指數Ra。顯色指數Ra是評價光源的重要指標,在學術交流和工業生產中廣泛使用。
計算顯色指數的標準方法,是CIE制定的“測色法”。評價時采用一套14種試驗顏色樣品,根據在參照光源下和待測光源下各試驗色的色差△E,計算出光源特殊顯色指數Ri:

一般顯色指數Ra的計算公式:

光源的一般顯色指數越高,其顯色性就越好,對顏色的還原性越好。
通常是在已知待測光源的光譜能量分布P(λ)的情況下,進行顯色指數計算的,其主要步驟如下:
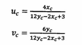
1.根據待測光源的光功率譜分布,計算待測光源的色度坐標(xc,yc)、(uc,vc)、相關色溫T;其中:

2.由待測光源的光功率譜分布和1-14試驗色的光譜輻亮度因數,計算待測光源下1-14號試驗色的色度坐標(xci,yci)并求相應(uci,vci)。
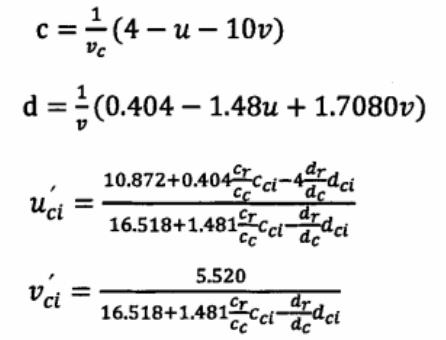
3.根據T選擇參照照明體,查表得出參照照明體的色度參數(ur,vr,cr,dr),以及在參照照明體下試驗色的顏色空間坐標U*ri、V*ri、W*ri。
4.由待測光源色坐標(uc,vc),求(cc,dc)以及待測光源下試驗色的色坐標(uci,vci)求(cci,dci),并計算試驗色的適應色位移(u‘ci,v'ci),其中有:

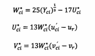
5.計算待測光源下試驗色的U*ci、V*ci、W*ci。

6.求U*ri、V*ri、W*ri與U*ci、V*ci、W*ci的色差△Ei。

7.由△Ei得特殊顯色指數Ri和一般顯色指數Ra。