光源的色溫怎么理解?色溫是表示光源光色的尺度,是光源除顯色性以外另一個重要的顏色指標。光源色溫可以分為絕對色溫和相關色溫,其中絕對色溫一般用T表示,相關色溫一般用Tc來表示,它們的單位都是開爾文(K)。那么,標準光源的色溫一般是多少?下文為大家作了介紹,感興趣的朋友可以了一下!

色溫是光源的重要顏色指標,色溫分為絕對色溫與相關色溫。當光源發出的光譜與加熱一個黑體使其產生同樣光譜時,加熱黑體所需要的溫度就是該光源的絕對色溫,絕對色溫的概念是在1911年由Hyde提出的,一般用T表示,單位為開爾文(K),是表示光源特性最基本的參數之一。這里的黑體是指對外來輻射或光線完全吸收的一種理想物體,是不存在的。
絕對色溫雖然可以準確地描述光源的顏色,然而對于大部分光源來說,光源的色品坐標不可能與某一絕對溫度下的黑體輻射色品坐標完全相同,為此,Raymond Davis等人提出了相關色溫的概念,一般用Tc來表示,單位為開爾文(K),它表示與光源具有最相似顏色刺激的黑體輻射的溫度。
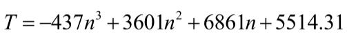
1.絕對色溫計算方法
絕對色溫在CIE-1931色品圖上是一條連續的弧形軌跡,這條軌跡稱為黑體軌跡線。光源的色品坐標如果落于黑體軌跡上,則對應的黑體溫度就為此光源的絕對色溫。絕對色溫的計算公式為:

式中n=(x-0.3320)/(y-0.1858),x、y為CIE-1931的色坐標。
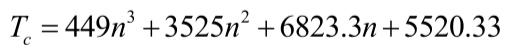
2.相關色溫計算方法
為了快速準確地計算出光源的相關色溫,目前已經提出了幾種比較典型計算方法,包括:三角垂足插值法、黑體軌跡法和模擬黑體軌跡法等,這幾種方法雖然計算精確,但計算過程復雜,計算量大。為了更加高效準確地計算出相關色溫,J.Smith、Macadam和Tamaru等人提出了幾種計算相關色溫的經驗公式。
J.Smith等人提出的相關色溫計算公式為:

式中n=(x-0.3320)/(0.1858-y),x、y為CIE-1931的色坐標。
Macadam等人提出的相關色溫計算公式為:

式中n=(x-0.329)/(y-0.187),x、y為CIE-1931的色坐標。
Tamaru等人提出的相關色溫計算公式為:

式中n=(x-0.332)/(y-0.1858),x、y為CIE-1931的色坐標。
上述三種經驗公式均可以直接計算出已知色品坐標光源的相關色溫,且計算快速、準確。對于多基色混合光,其色品坐標只能落在混合光圍成的色品坐標的連線區域內,故上述經驗公式也可以用混合光相關色溫的計算。
標準照明體和標準光源是為使光輻射測量標準化而引入的概念。CIE規定的標準光源有A,B,C,D65,E光源。有了色溫和相關色溫的概念,表示光源的特性將非常方便。如:
(1)A光源:色溫為2845K,相當于白熾燈在2800K時輻射出的光。
(2)B光源:相關色溫為4800K,相當于中午直射的日光。
(3)C光源:相關色溫為6700K,相當于白天的自然光,它的藍色成分較多。
(4)D65光源:相關色溫為6500K,相當于白天平均光照,近年來,常被用作彩色電視的標準光源。
(5)E光源:又稱為等能白光,即光譜功率分布值為常數,它是一種假想而實際并不存在的光源,采用它純粹是為了簡化色度學中的計算。
光源根據色溫的高低分為暖色光(色溫<3300K)、冷白色光又叫中性色(色溫3300K~5300K)、冷色光(色溫>3300K)三類:
暖色光:暖色光的色溫在3300K以下,暖色光與白熾燈相近,紅光成分較多,能給人以溫暖,健康,舒適的感受。適用與家庭,住宅,宿舍,賓館等場所或溫度比較低的地方。
冷白色光:又叫中性色,它的色溫在3300K到5300K之間,中性色由于光線柔和,使人有愉快,舒適,安詳的感受。適用與商店,醫院,辦公室,飯店,餐廳,候車室等場所。
冷色光:又叫日光色,它的色溫在5300K以上,光源接近自然光,有明亮的感覺,使人精力集中及不容易睡著。適用與辦公室,會議室,教室,繪圖室,設計室,圖書館的閱覽室,展覽櫥窗等場所。
常見光源的色溫或相關色溫如下所示。
1.自然光
日出時:色溫2000K
日出后/日落前30分鐘:色溫2400K
日出后/日落前1小時:色溫4500K
正午:色溫5600K
晴朗的北方天空:色溫10000K
日出后/日落前20分鐘:色溫2100K
日出后/日落前40分鐘:色溫2900K
日出后/日落前3小時:色溫5400K
陰天:色溫6800-7500K
2.人造光
火柴:色溫1700K
家用白熾燈100-2500W:色溫2600-1900K
電子閃光燈:色溫5500K
蠟燭:色溫1850K
家用白熾燈500W:色溫2900K
熒光燈:色溫7000K