LED光源是一種固態的半導體冷光源,被認為是未來最理想的照明光源,它具有使用壽命長、響應時間快、高效節能、綠色環保等優點。本文對LED光源光學性能參數光通量、光照度、光效做了介紹,感興趣的朋友不妨了解一下!

LED的光通量(luminous flux)指在單位時間內發射出的光量,也稱為LED光源的發光通量,即人眼所能感覺到的輻射功率,單位為流明(lm),光源的光通量越大,則發出的光線越多,它等于單位時間內某一波段的輻射能量和該波段的相對視見率的乘積。其計算公式為:

式中:Φ(λ)為光源光通量,Km為最大光譜光視效能,其值與波長有關,如常見的λ=555nm時,Km=683lm/W,V(λ)表示光譜光視效率,φ(λ)代表光輻射能量,單位為W。
光照強度(illumination)是指單位面積上所接受可見光的能量,簡稱照度,光學中一般用E表示,是用于表示光照的強弱和物體表面積被照明程度的量,單位為勒克斯(Lux或1x)。計算公式為為:

式中dS為單位面積,dΦ為照射在單位面積上的光通量。在1平方米面積上被光均勻照射的物體所得的光通量是1流明時,它的照度就為1勒克斯,1lx=1lm/m2。
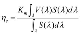
光效分為輻射發光效率(ηe)與光電轉換效率(ηv),輻射發光效率表示的是光源每瓦光功率對應的流明數,光電轉換效率的定義是單位電功率下光源發出的光通量,體現的是光源將電能轉化為光能的能力,兩者的單位都為lm/W。輻射發光效率的計算公式為:

式中,Km為定值6831m/W,V(λ)為光譜光視效率函數,S(λ)為光譜功率分布。
光電轉換效率的計算由定義可知,是光通量Φ與電功率p的比值:

標準光源是CIE規定的其輻射近似CIE標準照明體的人造光源。標準照明體是指具有與某一時刻的晝光相同或近似相同相對光譜功率分布的照明體。物體的顏色是光照射在該物體表面后所呈現的光譜反映,同一物體在不同光源照射下,由于對不同波長光吸收程度的差異,使物體呈現的顏色是不同的。自然光被認為是觀察物體顏色最為理想的光源,但是受時間和環境的限制,人們不可能時時刻刻在自然光下觀察物體的顏色,在多數情況下,人們只能采用人造光源來觀察物體顏色。為了提高顏色觀察的準確性,就必須使用接近自然光光譜成分的人造標準光源來觀察物體的顏色。
為了滿足標準光源照明要求,就需要所使用的LED滿足色溫、顯色指數、光譜分布等條件。目前,市面上的大多數LED燈管并不是標準光源!只有符合ISO3664:2000的要求,才可以用作觀察顏色的人造標準光源。