什么是色溫?什么是顯色性?色溫和顯色性是光源的兩個重要的顏色和指標,其中色溫是衡量光源色的指標,而顯色性是衡量光源視覺質量的指標。那么,色溫和顯色性什么關系?色溫和顯色性怎么計算?本文對色溫和顯色性的關系及色溫和顯色性的計算方法做了詳細的介紹,感興趣的朋友可以了解一下!

色溫是描述光源光譜質量最常用的指標。當某輻射體與絕對黑體在可見光區域具有相同形狀的光譜功率分布時的溫度,稱為該輻射體的色溫。當光源的色度坐標位于色度圖上的黑體跡線上時,就把黑體的絕對溫度定義為該光源的色溫,不同溫度下,絕對黑體的色度坐標是不同的,但是非熱輻射光源,它們的光譜功率分布形式與黑體輻射相差很大,其色度坐標不一定落在黑體輻射跡線上,這時常用相關色溫來表示,即在色度圖上,和某一光源的色度坐標點相距最近的那個黑體的絕對溫度就定義為該光源的相關色溫。
光源對物體的顯色能力稱為顯色性,是通過與同色溫的白熾燈下觀察到的物體顏色比較得到的。光源發射的光譜分布決定它的顏色,光譜分布不同,對各個顏色的顯色性亦大不相同。相同顏色的光源可以由不同的光譜組成,光源的光譜組成波長范圍越廣顯色品質越好。當光源光譜中缺少白熾燈下物體所反射的主波長時,會使物體顏色產生明顯的色差,色差程度越大,光源對該顏色的顯色性也就越差。目前,顯色指數仍是定義評價光源顯色性的普遍方法。
光源顯色性和色溫是光源的兩個重要的顏色指標。色溫是衡量光源色的指標,而顯色性是衡量光源視覺質量的指標。假若光源色處于人們所習慣的色溫范圍內,則顯色性應是光源質量的更為重要的指標。這是因為顯色性直接影響著人們所觀察到的物體的顏色。對于顏色檢測行業來說,人工光源顯色性的高低,直接影響被測試樣品顏色評價結果。因此,CIE標準光源的對顯色性有著嚴格的要求,標準光源箱中必須使用色溫、顯色指數等技術參數合格的人工光源。
光源的色溫與顯色性,從本質上說,都是由它的光譜能量分布決定的。以日光為例,日光是由紅、橙、黃、綠、青、藍、紫等多種顏色的光按一定的比例混合而成。日光照到某一種顏色的物體上,物體將其他顏色的光吸收,而將這種顏色的光反射出來。比如,藍布受日光照射后,就將藍光反射出來,并將其他光吸收,因此人眼看到的這塊布是藍色的。由于日光本身包含了各種顏色,再加上各種物體對不同的光的反射性能不一樣,所以大自然在日光照射下就顯得五彩繽紛。鈉燈則不然,鈉燈發出的光主要是黃光,當黃光照在藍布上,藍布將黃光吸收,藍布雖然能反射藍光,但鈉燈發出的光中基本上沒有藍光,也就談不上反射藍光了。因此在鈉燈照射下藍布就變成黑布了。鎢絲燈的光譜能量分布是連續的,各種顏色都有,因而有較好的顯色性,但其輻射能量分布偏重于長波方面,整體上看來光色偏紅偏黃。
然而,光源的色溫與顯色性之間并沒有必然的聯系,相同色溫的各光源之間的顯色性差別可能很大,相同顯色指數的各光源之間的色溫差別也可能很大,各種色溫的光源都可能有較好的顯色性,也可能有較差的顯色性。如:鎢絲燈色溫低,顯色性好;高壓鈉燈色溫低,而顯色性差;馬路上的高壓汞燈,從遠處看它發出的光既亮又白(色溫高),但被它照射的人的臉色卻象抹了一層青灰色(顯色性差);而高壓缸燈,發出的光亮白(色溫高),燈下的顏色也不失真(顯色性好)。
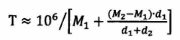
色溫是描述光源光譜質量最常用的指標,低色溫光源的能量分布中紅輻射較多,通常稱為暖色光:高色溫光源的能量分布中藍輻射相對較多,通常稱為冷色光。當知道待測光源的光譜分布后,可確定出光源的色度坐標(x,y)。若光源的色度坐標點位于兩條相鄰等溫線M1和M2之間,則可用內插法求得光源的相關色溫。
設d1為光源坐標點到等溫線M1的距離,d2為到等溫線M2的距離。則光源的相關色溫T由下式表示:

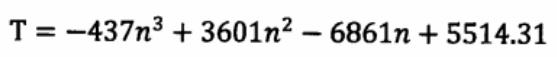
通常情況下用下面近似公式得到色溫T:

其中:n=(x-0.3320)/y-0.1858。
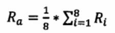
光源的顯色性一般用顯色指數來表示,而計算顯色指數的標準方法,是CIE制定的“測色法”。評價時采用一套14種試驗顏色樣品,根據在參照光源下和待測光源下各試驗色的色差△E,計算出光源特殊顯色指數Ri:

一般顯色指數Ra的計算公式:

光源的一般顯色指數越高,其顯色性就越好,對顏色的還原性越好。
通常是在已知待測光源的光譜能量分布P(λ)的情況下,進行顯色指數計算的,其主要步驟如下:
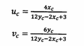
1.根據待測光源的光功率譜分布,計算待測光源的色度坐標(xc,yc)、(uc,vc)、相關色溫T;其中:

2.由待測光源的光功率譜分布和1-14試驗色的光譜輻亮度因數,計算待測光源下1-14號試驗色的色度坐標(xci,yci)并求相應(uci,vci)。
3.根據T選擇參照照明體,查表得出參照照明體的色度參數(ur,vr,cr,dr),以及在參照照明體下試驗色的顏色空間坐標U*ri、V*ri、W*ri。
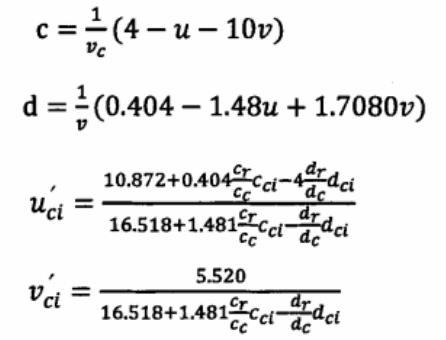
4.由待測光源色坐標(uc,vc),求(cc,dc)以及待測光源下試驗色的色坐標(uci,vci)求(cci,dci),并計算試驗色的適應色位移(u'ci,v'ci),其中有:

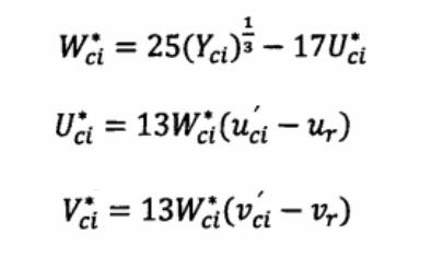
5.計算待測光源下試驗色的U*ci、V*ci、W*ci。

6.求U*ri、V*ri、W*ri與U*ci、V*ci、W*ci的色差△Ei。

7.由△Ei得特殊顯色指數Ri和一般顯色指數Ra。