LED光源是什么光源?LED光源是一種固體冷光源,它被被譽為新一代的綠色照明光源,將取代現有的日光燈和白熾燈成為照明市場的主導光源。那么,LED光源有什么優點?本文對LED光源的類型、優點及光學特性參數進行了介紹,對LED光源知識感興趣的朋友不妨了解一下!

LED是英文Light Emitting Diode(發光二極管)的縮寫,是一種固態的半導體冷光源,它是利用半導體化合物材料制成PN結的光電器件,其發光原理是:當PN結內的電子與空穴復合時,電子由高能級躍遷到低能級,電子將多余的能量以發射光子(電磁波)的形式釋放出來,產生電致發光現象。LED的發光顏色與構成其基底的材質元素有關。其具有使用壽命長、耗電量低、響應時間快等特點。
目前LED有很多種類型,下面是幾種主要的分類方式:
1.按發光顏色
從發光顏色上可分成紅色、橙色、綠色(又細分黃綠、標準綠和純綠)、藍光、白光等。
2.按發光強度
分有普通亮度的LED(發光強度<100mcd),高亮度LED(發光強度>100mcd),發光強度在10000mcd以上的稱超高亮度發光二極管。
3.按發光管出光面特征
分為圓燈、方燈、矩形、面發光管、側向管、表面安裝用微型管等。
4.按直徑
分為Φ2mm,Φ4.4mm,Φ5mm,Φ8mm,Φ10mm及Φ20mm等。人們通常把Φ3mm的LED記作T-1,把Φ5mm的記作T-1(3/4)。
5.按發光強度角
從發光強度角來分有三種:高指向型,標準型和散射型。高指向型一般為尖頭形環氧封裝,或是帶金屬反射腔封裝,且不加散射劑,半強度角為5°-20°或更小,具有很高的指向性,可作局部照明光源用;標準型的半強度角為20°-45°,通常作指示燈用;而散射型的半強度角為45°-90°或更大,散射劑的量較大。
LED是一種新型的光源,目前廣泛用于指示性照明和特種照明市場上,隨著性能的不斷提高,正向通用照明光源的方向發展。與傳統人工照明光源相比,LED照明光源具有很多優點,其發展潛力非常巨大:
1.發光效率高
基于特別的材料構成,在電子轉移的過程中,LED釋放的能量主要集中在可見光范圍內,不像鎢絲燈發出的電磁能很多集中在紅外線區,令人感覺到非常熱。也就是說,理論上LED幾乎能把所有的電能都轉化為光能,而白熾燈的可見光效率僅為10-20%?,F在商品化的LED的發光效率已超過35流明每瓦,這幾乎是鎢絲燈泡的兩倍。
2.光線質量高
由于光譜中幾乎沒有紫外線和紅外線,故沒有輻射,產生的熱量很小,LED屬于典型的綠色照明光源。
3.光色純
與白熾燈全頻段光譜不同,典型的LED光譜狹窄,發出的光線很純。
4.LED光源顏色豐富
既有白色的LED,也有發各種單色光的LED,而且顏色飽和度高,在需要色光的場合,不再需要用濾色片來進行濾光,有利于節約電能。
5.能耗小
單體LED的功率一般在0.05-3W,通過集群方式可以量體裁衣地滿足不同的需要,浪費很少。
6.壽命長
目前光通量衰減到70%的標稱壽命為10萬小時,遠遠高于白熾燈的1500小時和熒光燈的1萬小時。
7.可靠耐用
沒有鎢絲、玻殼等容易損壞的部件,非正常報廢的可能性很小,維護費用極為低廉。
8.應用靈活
體積小,可平面封裝,易開發成輕薄短小產品,目前封裝后LED的厚度可小于1mm,易于做成點、線、面等各種形式的具體應用產品。
9.綠色環保
廢棄物可回收,沒有污染,不像熒光燈含有汞等有害成分。
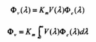
1.光通量
光通量的定義是計量光源被人眼所觀察時呈現的光功率,光通量的單位為lm(流明)。其表達式:

其中Фv(λ)為光通量,Фe(λ)為輻射通量,V(λ)為視覺函數,Km=683lm/W。
2.發光效率
光源的發光效率:CIE(國際照明委員會)定義光源發出的光通量與耗費電功率之比值稱之為該光源的發光效率。公式如下:

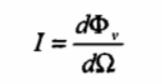
3.發光強度
發光強度的定義是在給定方向上的單位立體角內光源所發出的光通量,發光強度的單位為cd(坎德拉)。其表達式如下:

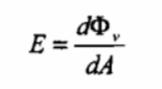
4.光照度
光照度的定義是單位面元上光源照射的光通量,其單位為lx(勒克斯)。其表達式為:

5.光亮度
光亮度的定義是光源在垂直其輻射傳輸方向上單位面積單位立體角內發出的光通量,其單位為cd/m2。其表達式為:

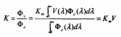
6.光視效能
光視效能的定義是目視引起刺激的光通量與光源發出的輻射通量之比,其單位為lm/W。其表達式為:

其中,V=K/Km為光視效率,量綱為1。在照明工程中,通常希望光源有高的光視效能,當然還要考慮到光的顏色。下表給出了常見光源的光視效能。
在光源以上眾多的光學特性中,光度量中最基本的單位是發光強度——坎德拉(Candela),記作cd,它是國際單位制中7個基本單位之一。